Neopentil glikol diglisidil efir CAS # 17557-23-2
CAS raqami: 17557-23-2
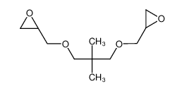
Kimyoviy formula: C11H20O4
Sinonimlar:
1,3-bis(2,3-epoksipropoksi)-2,2-dimetil-propan
2,2'-((2,2-dimetil-1,3-propandiil)bis(oksimetilen))bis-oksiran
2-[[2,2-Dimetil-3-(oksiran-2-ilmetoksi)propoksi]metil]oksiran
MOQ (minimal buyurtma miqdori): 1 FCL (to'liq konteyner yuki)
Tashqi ko'rinishi: Shaffof suyuqlik
Neopentil glikol diglisidil efir CAS # 17557-23-2
Neopentil glikol diglisidil efir efir-spirtli hosiladir. Efir nisbatan reaksiyaga kirishmaydi. Yonuvchan va/yoki zaharli gazlar spirtlarning ishqoriy metallar, nitridlar va kuchli qaytaruvchi moddalar bilan birikmasidan hosil bo‘ladi. Ular okso kislotalar va karboksilik kislotalar bilan reaksiyaga kirishib, efir va suv hosil qiladi. Oksidlovchi moddalar spirtlarni aldegidlar yoki ketonlarga aylantiradi. Spirtli ichimliklar zaif kislota va zaif asosli xatti-harakatlarni namoyon qiladi. Ular izosiyanatlar va epoksidlarning polimerizatsiyasini boshlashi mumkin.
Neopentil glikol diglisidil efir Kimyoviy xususiyatlari |
Qaynash nuqtasi |
103-107 °C/1 mmHg (lit.) |
zichligi |
25 °C da 1,04 g/mL (lit.) |
bug 'zichligi |
>1 (havoga nisbatan) |
sindirish ko'rsatkichi |
n |
Fp |
>230°F |
saqlash harorati. |
Qorong'i joyda, inert atmosferada, xona haroratida saqlang |
eruvchanligi |
Xloroform (ozgina), metanol (bir oz) |
shakl |
shaffof suyuqlik |
rang |
Rangsiz yoki deyarli rangsiz |
Suvda eruvchanligi |
20,5 ºC da 0,5-1,0 g/100 ml |
Barqarorlik: |
Barqaror. Kuchli oksidlovchi moddalar, sulfat kislota, dixromatlar bilan mos kelmaydi. Yonuvchan. |
InChI |
InChI=1S/C11H20O4/c1-11(2,7-12-3-9-5-14-9)8-13-4-10-6-15-10/h9-10H,3-8H2,1-2H3 |
InChIKey |
KUAUJXBLDYVELT-UHFFFAOYSA-N |
TABASS |
C(OCC1CO1)C(C)(C)COCC1CO1 |
LogP |
0,646 (taxminiy) |
CAS ma'lumotlar bazasiga havola |
17557-23-2 (CAS ma'lumotlar bazasi ma'lumotnomasi) |
EPA moddalarni ro'yxatga olish tizimi |
Neopentil glikol diglisidil efir (17557-23-2) |
Xavfsizlik ma'lumotlari |
Xavf kodlari |
Xi |
Xavf bayonotlari |
38-43 |
Xavfsizlik bayonotlari |
24-37 |
WGK Germaniya |
1 |
RTECS |
TX3760000 |
TSCA |
TSCA ro'yxatiga kiritilgan |
HS kodi |
29109000 |
Saqlash klassi |
10 - Yonuvchan suyuqliklar |
Xavflar tasnifi |
Terining tirnash xususiyati. 2 |
Neopentil glikol diglisidil efir CAS # 17557-23-2 mahsulot qo'llanilishi
NGDE epoksi polimerlarni sintez qilishda shakl xotirasi polimerlarini ishlab chiqish uchun ishlatilishi mumkin. Bundan tashqari, katyonik polimerlarni fotopolimerizatsiya qilishda ham foydalanish mumkin.
Fakt Zavod va uskunalar ko'rgazmasi
Tez yetkazib berish muddati
Inventarizatsiya 2-3 ish kuni Yangi ishlab chiqarish 7-10 ish kuni


